Kleinwinkelstreuung

Neutronen- und Synchrotron Kleinwinkelstreuung – Zwei komplementäre Methoden welche Strukturinformationen liefern

Ihre Vorteile gegenüber der Analytik auf Labormassstab

Die Materialien, aus denen ein Industrieprodukt besteht, durchlaufen oft komplizierte Prozesse, bevor sie ihre endgültige Form und Gestalt annehmen. Jeder durchgeführte Prozess beeinflusst die endgültige Struktur und damit die Eigenschaften des Produkts. Die Kleinwinkelstreuung ist die verfügbare Methode zur Erkennung von Phasen und ihrer Morphologie.

Synchrotrontechniken liefern eine hohe Transmission für leichte Elemente und einen starken Kontrast für schwerere Elemente. Neutronentechniken hingegen, liefern für leichte Elemente einen starken Kontrast und für schwerere Elemente eine höhere Transmission. Das bedeutet, dass die zwei Methoden unterschiedliche, als auch komplementäre Kontrastmöglichkeiten bieten.

Kleinwinkelstreuung kann für die morphologische Charakterisierung, wie z.B. die Grössen-, Form- und Orientierungsverteilung verschiedener Arten von Materialien, verwendet werden.

Neutronen- und Synchrotrontechniken bieten Untersuchungsmöglichkeiten mit hoher Auflösung, hohem Probendurchsatz und in Echtzeit. Die gewonnenen Daten bilden die Grundlage für weitere Analysemöglichkeiten, wie unten beschrieben.

Wir freuen uns auf die Zusammenarbeit mit Ihnen.

Die Kleinwinkelstreuung wird als qualitative und quantitative Messtechnik mit den folgenden Analysemöglichkeiten eingesetzt:

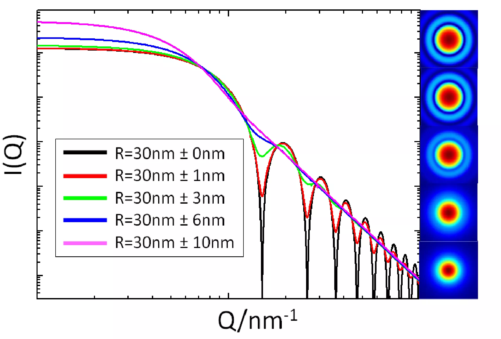
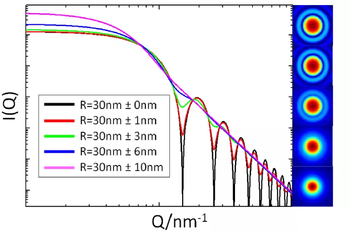
Size distribution analysis
image

Grössenverteilungsanalyse

  • Bestimmung der Mikro- und Nanostrukturen von zufällig orientierten Systemen
  • Quantifizierung der Partikelgrößenverteilung von polydispersen Systemen
Shape distribution analysis
image

Formverteilungsanalyse

  • Identifizierung der äußeren Form und der inneren Strukturen 
  • Bestimmung von Formverteilungen
Scattering_example_3 1920
image

Orientierungsanalyse

  • Bestimmung der Orientierung von Strukturen
KONTAKT

Wie können wir Ihnen weiterhelfen?

Industrielle Herausforderungen können sehr spezifisch sein. Gerne besprechen wir Ihre individuelle Problemstellung detailliert mit Ihnen. Vereinbaren Sie jetzt ein Gespräch – und finden Sie konkret heraus, wie wir zur Lösungsfindung beitragen können.

Die Komplementarität von Neutronen- und Synchrotron Kleinwinkelstreuung

Auswahl der Vorteile von jeder Technik

Scattering_complementaity_2_3000_0

Neutron Kleinwinkelstreuung

  • Höherer Kontrast für leichte Elemente (z.B. H, B, Li)
  • Höhere Durchdringung von metallischen Elementen (z.B. Ti, Cr, Fe)
  • Höherer Kontrastunterschied für benachbarte Elemente (z.B. Pd und Rh)
  • Kontrast für magnetische Strukturen
Scattering_complementaity_1_3000_0

Synchrotron Kleinwinkelstreuung

  • Höhere Durchdringung für leichte Elemente (z.B. H, B, Li)
  • Höherer Kontrast für metallische Elemente (z.B. Ti, Cr, Fe)
  • Höhere räumliche Auflösung im Vergleich zu Neutronen- und laborbasierten Röntgenmessungen
  • Deutlich höhere zeitliche Auflösung im Vergleich zu Neutronen- und laborbasierten Röntgenmessungen
  • Deutlich höherer Probendurchsatz im Vergleich zu Neutronen- und laborbasierten Röntgenmessungen

Technische Details der Neutronen- und Synchrotron Kleinwinkelstreuung

Auswahl detaillierter Informationen

Information Neutronen Kleinwinkelstreuung Synchrotron Kleinwinkelstreuung
Energiebereich

0.05 - 4 meV

2.8 - 41.3 keV

Wellenlänge

4.5 - 40 Å

0.3 - 4.4 Å

Abstand zwischen Probe und Detektor

1 - 18 m

2.1 - 7.2 m

Zugänglicher q-Bereich

0.0006 - 1.5 Å-1

0.0012 - 2.81.5 Å-1

Auflösung

Δλ/λ = 10 %

ΔE/E = 0.02 %

Strahlfleck Bis zu Maximum 2.5 x 2.5 mm2 maximum Runter bis Minimum 25 x 10 µm2

 

Die Art und Weise, wie wir mit Ihnen zusammenarbeiten

Ihre
Herausforderung

>
>

Kompetente
Beratung

>
>

Angewandte Materialanalytik mit Neutronen- und Synchrotronstrahlung &
massgeschneiderter Infrastruktur

>
>

Datenanalyse und
Interpretation

>
>

Abschliessender
Bericht

>
>

Unsere Analytikwerkzeuge für Ihre Fragestellung

Bewegen Sie die Maus über die Schubladen, um unsere Werkzeuge für die angewandte Materialanalytik zu erkunden.

TB_Overview_DE_V2a_2000px
TB_Imaging_DE_V2a_2000

Bildgebung

Wrench
3D Materialverteilungsanalyse
Wrench
Defekt- und Porositätsanalyse in 3D
Wrench
Wandstärkenanalyse in 3D
Wrench
3D Soll-Ist-Vergleichsanalyse
Wrench
Reverse Engineering
Bildgebung
TB_Diffraction_DE_V2a_2000

Diffraktion

Wrench
Atomare Phasen- und Strukturcharakterisierung
Wrench
Eigenspannungsanalyse
Diffraktion
TB_Scattering_DE_V2a_2000px

Streuung

Wrench
Grössenverteilungsanalyse
Wrench
Formverteilungsanalyse
Wrench
Orientierungsanalyse
Streuung
TB_Spectroscopy_DE_V2a_2000px

Spektroskopie

Wrench
Chemische Bildgebungsanalyse
Wrench
Chemische Charakterisierung
Spektroskopie
TB_Infrastructure_DE_V2a_2000px

Massgeschneiderte Infrastruktur

Mechanisch
Klima
Elektrisch und magnetisch
Während der Herstellung
Automatisierung
Massgeschneiderte Infrastruktur
TB_Sample_Preparation_DE_V2a_2000px

Probenvorbereitung und Vor-/Nachcharakterisierung

Wrench
Auswahl an Schneidemaschinen
Wrench
Auswahl an Polierausrüstung
Wrench
Elektronenmikroskopie
Wrench
Rasterkraftmikroskope
Wrench
Licht- und Rasterlasermikroskope
Probenvorbereitung und Vor-/Nachcharakterisierung

Klicken Sie auf die Schubladen, um mehr zu erfahren

Tippen Sie auf die Schubladen, um mehr zu erfahren